« 2016年11月 | トップページ | 2017年1月 »

2016年12月

2016年12月31日 (土)

2016紅白歌合戦のPerfumeのパフォーマンスは、ダイナミックVR。まさに浮いているような映像。 #紅白歌合戦

毎年すごいものをやってきてくれるチームPerfume。

さて今年は?ダイナミックVRという背景が本当にリアルタイムで三人の動きに合わせてリアリティをもって動く。浮いてますな。LEDパネルを使っているとのこと。
こちらの記事とか参考になる。
真鍋大度さんの一連のTweetも参照。
過去のもの:

Perfumeの紅白歌合戦の時の衣装の制御ボードが公開に。マイコンはArduino Pro Mini、無線は2.4GHzのXBEE ProそしてTIのLEDドライバと大量のMOS-FET。

2016大晦日、ダウンタウンの”絶対に笑ってはいけない科学博士24時!”を観てます。リアルタイム速記メモ更新中。 #ガキ使

am8:00。

始まりの時。5人が歩いているが、松本は誰か4人でよくない?と言う(笑)
ここで待て、という立札の前で止まる。
なぜかBack to the futureのデロリアンが登場。かっこいい!
中に乗っているのは、ドクに扮した藤原。
あれ?デロリアンはすぐ戻ってしまう。
今年のテーマは科学博士や、という藤原。
科学博士ってないみたいですよ、と松本が正論を吐く(そりゃそうだ)。
BOXに入って着替える5人。
松本は、ムキムキマッチョ博士。
遠藤は、男前 新婚博士。
田中は、ガリガリ 不潔博士(なんでや、、、)
方正は、とっつぁん坊や博士
そして浜田は、、、、やっぱり女装、、、浜田だけ理系女(リケジョ)。
---
科学研究所行きのバスに乗る。
Twitterでバレバレだったというバスだ。
ガースー黒光り科学研究所行のバス。でも埼玉、と書いてある。
アインシュタイン風に舌をだした菅氏のイラスト付き。
さてバスの刺客は?
---
一組目:
 停留所で乗ってきたのは、鈴木亮平さんの銭形警部と刑事の若林正恭さん。
 逃走中のルパンを逮捕しようとしている。この中にルパンがいるという鈴木さん。
 先ほど捕まえたアイツらを連れてこい、、、といって出てきたのが
 遠藤の父と弟が五右衛門と次元。いきなり登場。
 俺はな、ドラマの宣伝がしたいだけなんだという鈴木さん。なんでこんなB級芸人の
 家族とミニコントをしなければ、、、という(笑)。
 色仕掛けに移る。不二子は?やっぱり遠藤のお母さん。
 方正の顔を叩くお母さん。ケンカしたと思ったらキスするお父さんとお母さん(笑)
 今度はお兄さんと浜田がキス(笑)。上島と出川の再現。
 警視庁No.1のセクシーな女を連れてくるといわれ、、、出てきたのは、、、とここでCM.
 あれ?鈴木さん、銭形警部役で本当にドラマやるんだ!今CM入った。
 で出てきたのは、なんと、遠藤の妻の雅美。本当に嫁だ!
 元関根勤さんのマネージャー。
 章ちゃんが指輪を買ってくれないとか、2人目の子供が欲しいのに性欲がないとか
 不満をぶちまける。でまたキス。
 なぜかみんなでてんとう虫のサンバを歌う。
二組目:
 次に停留所で乗ってきたのは、高校生に扮した劇団ひとり。
 ジャージを着た体育教師にどうして学校に来ないと責められる。
 受験がこわいという川島。
 受験にプレッシャーを感じているのは皆同じだ、クラスのみんなも一緒に頑張りたい
 と思っているという先生。わかった、頑張る、というといきなり殴られる(笑)。
 連続で殴られる劇団ひとり。
 そしてバスの外で責められ続ける劇団ひとり。
 川島あぁ、川島ぁ、と叫びながらまだまだ殴り続ける。
三組目:
 乗ってきたのは、板尾創路。犬神家の一族の助清のゴムのお面をつけたまま。
 なぜか咳をする。体調がすぐれない様子。体温計で測定する。
 体温は?平熱や!
 次に乗ってきたのは不良高校生、高校生同士のいざこざが始まる。
 しかし板尾が伝説の番長だとわかる。
 板尾の母、大神さんが出てくる。この子を板尾じゃないと思ってるんでしょ、と怒る。
 なぜか田中に熱があるだろうと言い出す。田中が熱を測ると、37度。
 微熱や!
 そしてもうええわ、とバスを降りていく。
---
そしてバスは研究所へ到着。
アインスガイン博士の銅像がある。(菅さんの銅像)
藤原はそれをスタインとずっと言ってる(笑)。設定を覚えろよ(笑)。
で、まだ川島こと劇団ひとりがいたぶられている。脚をロープで縛られて車で引きずりまわされる。 どうして学校へこないんだ!と。
---
新人研修室は2Fにある。
am9:30。
引き出しのネタが始まる。
まずは田中が開けると謎の1番の鍵がある。
方正が開けると、元祖どっきりカメラの看板がある。さらに赤いヘルメットとジーンズのベスト。
とりあえず田中の1番のロッカーの鍵を開ける。
出てきたのは、謎のBOXのようなもの。開けると、、、
謎のマスク。スキンヘッドの子供の首。
田中がネックウォーマーをまずかぶり、そこに子供の首を。
怖い、、、
突然どっきりカメラの音楽が流れ仕掛け人のニセAD登場。
ブーブークッションをスタンバイ。
なんと女優の松下由樹さんが登場。
イスに座るか、、、座らない、、、座るか、、、とじらされる。
で座る。
ブッという。
あのカメラの逆回転を自ら現場で再現する松下さん(なんでやねん(笑))。
そして方正がどっきりカメラの看板持ってやってくるが。。。
松下さんが怒り出す。
私、女優よ、謝りなさいよ!この人にタイキックして!という。
タイ人のキックボクサー登場でまたタイキックだ!今年は田中じゃなかった。
しかしなんと方正のヘルメットはロックされて取れない。
--
次は遠藤が引き出しを。謎のDVDが出てくる。
DVDを見ることにする。
笑点だ。
ほんまもんの笑点。
あれ、でも観客にいつものおばちゃんがいる。
笑ってはいけない大喜利が開始される。
たい平さんが、田中君とかけまして、時間の押している収録と解く、
そのこころは、お尻が気になる、、、
ということでやっぱり田中もタイキック。
でも倒れそうになってあぶなっ!と言ったことをみんなに突っ込まれる。
じゃあおいしいもの食べたらおいし!というのか?という。
蹴られてすぐチーカマを食べたら、、、痛くてコメントできない。
---
次は研究員同士の親睦を含めるレクリエーション。ということで青と赤のジャージに着替える。でいつものゲーム大会。
TEAM宮迫とTEAMフジモンに分かれる。
ホメホメ合戦から。そして後だしじゃんけんで負け続けるゲーム。ダウンタウンの2人がボロボロ、、、
---
そして外へ。
また助清の板尾が、なんと子供の助清を自転車に乗せていて、病院に連れて行ってくるという。寒気するという子供。
---
研究室に戻る。まださっきの後出しじゃんけんのじゃんけんぽんぽんをやり続ける一同。
これ来年ちょっと流行るかも。
そしてあっち向いてほいほいほいゲームも。3回やって全部釣られないかどうか?というゲーム。
---
そしてまたバスに乗り込む。基礎体力をつける特別訓練施設へ。
しかしまた刺客がやってくる。
 ばいきんぐ小峠と子役の住田萌乃ちゃんが乗り込んでくる。
 視覚探偵のパパに失踪した弟の手がかりをつかんでほしいという。
 で視覚探偵 日暮こと松坂桃李くんが登場。様々なものを見てみる。
 30年前から痔ろうに苦しむ大物芸能人が大事にしている座布団を見る。。。
 (って浜田の座布団)
 方正の顔が書いてある靴下を次に見る。事務所に内緒で勝手に作った
 闇グッズ。
 次はライザップのコップ。能無し芸人のコップと住田ちゃんに言われる。
 知能はアルマジロと一緒くらいとまで。遠藤のコップだった。
 次はは松本がカラオケで海のトリトンを歌ったれど娘が退屈していまって、
 それを悪いと思った娘さんが描いた海のトリトンの絵。
---
体力訓練所(学校のグラウンド)に着く。
何でもないところで転びかける浜田。。。
そして待機室で動きやすい服装に着替える。
突然の警報音。黒鬼が侵入。松本が連れ去られる。
スペシャルゲストとして登場したのは、ヒロミ。
いつもの鬼ごっこのスタート。
で、また同じ何もないところで転びかける浜田、、、
田中は捕まって鉄拳メイクをされる。方正は101匹の犬の風船をつながれる。
そして強風で犬が飛ばされる、、、
ヒロミを捕まえた積年の恨みは、デビット伊東とミスターちんでした。
モンスタートラックに乗ったりしながら終了。
---
次は所長にご挨拶。
所長はサンシャイン池崎。8931が暗証番号、すべてをさらけ出した男。超ハイテンション。
でもセクシーさが足りない、ということで謎の装置をスタンバイ。
スモークの中から現れたのは、、、
サンシャインと同じ格好をした、斎藤工さん。
なんでやねん(笑)。
ハイテンションさはそのままに。預金残高7625万円。暗証番号2741。ふなよい、と覚えてって(笑)
---
引き出しがリセットされる。
田中の引き出しには、手紙が。また鍵も。
手紙は、名誉教授から。
サイエンスクイズ。
Q:100%サラダ油の水槽にガラスのコップを入れるとどうなる?
正解を実演ということでハッピーボーイ岡田圭右さんが登場。
名誉教授も登場、それは上川隆也さん!
では実演。
ガラスのコップが消えて見える。
サラダ油とガラスの屈折率がほぼ同じだから。
罰ゲームの液体窒素ロケットパンチを市岡元気さんなどのでんじろう軍団が行う。
これ危ないよ!
ゴーグルがずれるくらいの勢い。
--
次は松本宛に宅配便が。
箱の中からまた斎藤工さんが(何やってんだ!)。
---
田中の鍵はまた箱が出てきて、今度は泣き顔のマスク。
これはよくできてる。
--
松本の引き出しは、謎のヘッドフォン。
聞こえてきたのは、斎藤工さんの声。
---
引き出しネタ最後は方正。
謎の便せんと笑い袋。
封筒はサイエンスクイズだ。
Q:炭酸水が入ったビニール袋を火で炙るとどうなる?
正解を実演する。また上川さんと岡田さんが登場。
アルコールランプで熱すると?
水は溶けないが気泡の部分は熱で溶けるので、気泡の部分だけ穴が開いてシャワー状に水がこぼれる。
罰ゲームは7連空気砲 風船爆破だ。
水素と酸素を反応させてコットンを打ち出すが、それにはオレンジオイルがしみこまされていて、それが風船のゴムを溶かして割る。
--
方正だけ別の服装に、、、鉄腕アトムでした。ウランちゃんが方正の笑い袋を持ってきて押しては叩かれる、、、
---
ローラがビートたけしロボとしてたけちゃんマンの格好をする。
そして浅野ゆう子さんが、本能寺の変に乗せて浅野の変を。。。
そして原田龍二さんがなんとアキラ100%と一緒に全裸でお盆パフォーマンスを。。。
---
そして新喜劇のすっちーと吉田裕が登場。チンピラコントを繰り広げる。
乳首ドリルだ。
と思ったら、西岡徳馬さんがやってくれる。
さらに、ジローラモまで。。。
--
そして暴露合戦の後は、ジミー大西登場。
アルコールで酔っぱらう。そして熟睡し、完全に犬のようないびきをかく。
そして、宮川大輔がビリビリ装置(低周波治療器)で起こそうとするが、首が動くだけ。
3個つけたら、ベッドから転がり落ちて起きた。
---
でまた蝶野さんとのやりとり。。。暗くして特殊なライトを当てると方正の顔だけ光る。
上川さんが風船を割って液体をつけさせたのか!
---
そしてまたいつものもめごと(上島さんとかケンドーコバヤシとか)。
---
最後は寺田心くんが悪役で、遠藤と方正がさらわれるのを救いに行くというのでおしまい。
---
ラストの振り返りのテーマソングは今年は誰が歌う?
石井竜也さんでした。君がいるだけで、に乗せて。

2016年12月30日 (金)

近藤滋さんの”陛下に一本取られた話”、面白いです。やっぱり陛下はいい方だ。

この話、いいですねえ。

http://www.fbs.osaka-u.ac.jp/labs/skondo/saibokogaku/heika.html

やっぱり日本人は陛下が大好きだと思いますよ。
さかなクンのときもそう思ったけど。
陛下の論文についてはこれを参照:

長洲天満宮(尼崎)でお参り。

ここも学問の神様、だそうです。

20161225_133159

縄の輪っかをくぐり抜けてきました。
20161225_133212

2016年12月29日 (木)

阪神尼崎駅そばの中央公園で空中噴水が。

公園が歩道橋のように道路の上に設置されてて、そこに噴水がある。結構面白い。

20161225_142259

20161225_142308

2016年12月28日 (水)

今日のちょっといいことした話:海外からの若い子連れの夫婦に道案内した。

さて、今日は仕事納めで、一人でいろいろ噛みしめようと超激辛料理を食べに(また後日書きます)地下鉄東山で降りた。地下から地上に出てたら、若い女性(ちょっと離れてベビーカーに赤ちゃんと旦那さんらしき方)がいた。で話しかけられた。

Excuse me, sir?

Yes! How can I help you?

(全部英語で、以下日本語に直した会話)。

すみません、ちょっといいですか?
はい、なんでしょう。
この○○に今晩宿泊するんですけどここから近いですか?
(私もこのあたり全然詳しくないから)
地図持ってます?
私のスマートフォン、電池切れちゃって、、、
(ああ、、、、これは困ってるだろう、と私もここから最大限に親身になり始めた)
じゃあ、私のiPhoneで地図見ますね。
これが住所?いやこれがホテル名?GoogleMapで検索するね。
ここから近いよ。
こういって、、、、
右曲がる?
いやこの地図、上下逆転だから、、、
それはわかってる、、、
いやわかってない。こっちにいってこの筋を曲がって、、、
(とかいう会話を延々繰り返してやっとわかってもらった)
でその女性と旦那さんに会釈して私は激辛料理を食べに。
ちょっといいことしたなあ、と記録(&英語しゃべれていいこともあるなあ、と思った)。

え!スターウォーズのレイア姫役のキャリー・フィッシャーさんがお亡くなりに、、、次回作があるのに、、、ご冥福をお祈りします。

飛行機に乗っているときに心臓発作を起こして倒れたのは知っていたけれど、、、

いまZIP観ていて初めて知った。スターウォーズ最新作(フォースの覚醒ですが、ローグ・ワンの最後も(これはどうやってるかわからない))にも出演されていて、次作でも重要な役割のはずだったのに、、、
ハリソンフォードとの不倫を告白したのも今となっては何か意味があったのか、、、
ご冥福をお祈りいたします。

”首折り男のための協奏曲”(伊坂幸太郎さん)を読んだ。

短編集ですが、最初の話、あれ?どっかで読んだぞ?と思ったらStory Tellerに入っていたものでした。でもそこからふくらまされたもの。でも首折り男が主役?と思ったら実は黒澤さん(ラッシュライフとかに伊坂作品にいっぱい出てるあの人)が主役に。
しかし月曜日から逃げろ、は不思議な、、、、でもぼくは昨日、明日のきみとデートする、を読んだばかりだったからそうかな?と思っていたり。
合コンの話、もすごい斬新な構成。でも最後のオチがすごい。あの人だったの!という。
ちなみに人間らしく、で出てくるフェッセンデンは、フェッセンデンの宇宙(エドモンド・ハミルトン)です。

2016年12月27日 (火)

西宮成田山でお参り。

西宮神社の後はこちらへ。お隣です。

20161225_154722

20161225_154731
20161225_154904
20161225_154905

2016年12月26日 (月)

SMAPxSMAP最終回、最後に間に合うように家に帰ってきた。やはり世界に一つだけの花を歌ってくれた。が、深々とお辞儀をして、カーテンが下がり、コメントがないのは寂しい。

23:00まえくらいに帰宅してみてたんですが、デビューからの過去の映像をオルゴールにアレンジしたSMAPの曲をBGMにずっと流していて、、、まさかこれで終わり?と思ったら!
5人そろって世界に一つだけの花を歌ってくれた。
そして、最後に5人のコメントがある?
まず深々と一礼をして、、、
カーテンが降りる。
あれれ、、、コメントがない。寂しい、、、
拍手の渦の中を中居君一人下がり後ろを向く。
他の4人は噛みしめるように前を向く。
でスタッフと一人ずつ映像を撮っておしまい、、、
そして皆、掃けていく、、、最後は木村さんでした。
最後の最後に震災の義援金募集について中居君が喋ったけれど。

西宮神社でお参り。そして福男選び2017に向け、コースを歩いてGIFアニメにしてみた。走る方はご参考に。

西宮へ用事があったのでついでにお参り。久しぶりだ。

20161225_153847

20161225_153855
20161225_154148
で、前にもやってみたけれどこの2017年の福男選びに向けてコースを歩いてGIFアニメにしてみた。これ。

2016年12月25日 (日)

3.9+5.1=9.0で減点になったことに対してフィールズ賞を取った数学者の森重文さんにインタビューしてる。掛け算の順序もガウスの1~100の足し算を例に批判(林先生が驚く初耳学)

京都大学に林先生がやって来た。人生で初めてやってきたとか。

で森先生に会う。高等研究院 院長という肩書になってた。
林先生の高校の先輩(東海高校)だとか。
で、3.9+5.1=9.0についてのコメントを求められて答えたのは、
”もし最初にできるだけ簡潔な表現をしろ、というのがあったら減点するかもしれないが、
僕の感覚ではそれはない、減点はしない。
何がいかんのだ?”
ということでした。
さらに掛け算の順序問題についても、
”数学者としてはどちらでもいい、
減点はとんでもない話、ガウスが1~100まで足し算をすぐにできたのも
順番を入れ替えたから。
あれを許さないのはありえない。入れ替えても体積が変わらないのが大事。
ということでした。
さらに今の時代は数学の論理を身に着けていることが大事、や教える方に自信がないと形式を整えたくなるのかも、とも。
森先生についてはこちらを。ハーツホーン予想の解決、そしてフィールズ賞受賞の3次元極小モデルが存在することを証明などものすごい業績をあげられています。
広中先生による紹介も
そして極小モデルに興味があるかたは、こういうところを参照。
Twitterでの番組の画像:

航空自衛隊では引き算の訓練をする(低圧の極限状態でパイロットの意識状態をチェック)(林先生が驚く初耳学)

入間基地に特別に入れてもらい、パイロットの訓練を見せてもらう。

口に酸素マスクをつける。通常の1/3の酸素。しかし酸素マスクを外す。
そこで引き算を行う。低圧訓練の一環だという。
だんだん計算が合わなくなっていく。。。これは大変だ。
間違えずに計算できる隊員はごくわずか。

お寿司屋さんの名前が3文字が多いのはなぜ?(林先生が驚く初耳学)

暖簾が関係している。

江戸時代の建物は間口が狭かった。広いと税金が高くなるので、半間(90㎝)が一般的だった。
で、布の小幅という長さは藍染甕の口径に合わせて35mで、暖簾には3枚並べるとちょうどいい。それに合わせて映えるように名前も3文字になった。
なるほどー、これは知らなかった。

ホッチキス針の箱に何が書いてある?(林先生が驚く初耳学)

実は、ホッチキス針は古紙の再生紙工程で支障ありません。と書いてある。

だから大量の書類からホッチキスの針を取り外す必要はないんだって。
古紙の再生時に金網で不純物を取り除くから、だそうです。
針メーカーのマックスさんもwebで書かれてます。
でも私は今は針のないやつ使ってるから(ハリナックス)。

ドクターXの大門未知子の「私、失敗しないので」はロンドンオリンピックでの松本薫選手の「ミスしないので」から来てると中園ミホさんが語る(林先生が驚く初耳学)

さっきテレビを観ていてなるほどなー、と思った話。

ドクターXの脚本を書いていた中園さん、主人公のキャラ設定に悩んでいた。
日本にフリーランスの医者がいないから。
いっそのこと無口なキャラにしようか、、、思っていて
テレビをつけたらロンドンオリンピックの決勝戦。
松本薫さんが試合後のインタビューで「私、ミスしないので」
と言ったことからインスパイアされたとのことでした。

エントロピック重力とダークマターについて話題ですが、Margot Brouwer さんが直接解説している動画があります。

ダークマター存在せず? - 「エントロピック重力理論」と観測データが一致

というニュースを見た。正確には最初のテストで矛盾が観られなかった、ダークマターがある理論でも説明できるが、でもエントロピック重力はパラメータがない理論なんで面白いですね、という話かな?

で、Margot Brouwer さん(検証論文のリーダー)が語っている動画がありました。

Verlinde's new theory of gravity passes first test

Erik Verlindeさん(理論の提唱者)が語る動画も。

カニを浮遊させるスーパー店員、カニのはさみを使うカニスマ理容師、って鳥取の宣伝動画だったのか(サンジャポ見て)

この2つ以外にもカニ拳もある。

マライア・キャリーの恋人たちのクリスマスをご本人やレディーガガ、エルトンジョンが車の中でカラオケで歌うのすごいな(サンジャポ見て)

これ。The late late show with Jamus Cordenより。車内カラオケというコーナーがあるのがすごいな。

12/25のがっちりマンデーは”知らなきゃ年を越せない「2016儲かりキーワード」 お金が貯まる…「フィンテック」!? 最新遊び「グランピング」って?”でした。速記メモ。

去年はIoTやランパスでしたが、今年はフィンテック、グランピング、チャットボットの説明とのこと。
①フィンテック
 Financial Technologyの略でFintecですね。
 ・マネーフォワードという会社がこれで急成長しているとのことで訪問する。
  辻庸介社長40歳が説明してくれる。
  金融とテクノロジーが融合したものがフィンテック。
  スマートフォンで支払いができるようになったのもフィンテック。
  スイカや駅の自動改札などもそう。
  マネーフォワードでは何をやってる?
  スマホで自動家計簿。
  レシートをカメラで撮る。すると使った金額、どこの店で使ったか、内訳まで
  読み取る。
  銀行・クレジットカード、スイカなどを連携すると自動で読み込んでくれる。
  機械学習を取り入れているとのこと。
  フーガという項目も最初は?マークだが、一度設定すると飲み会代金と認識する。
  最初の1年は無料、その後は月500円払わないと過去データが読めない。
 ・お金のデザインという会社。北澤直さんが説明してくれる。
  THEO(テオ)という名前の資産運用プログラムを作っている。
  最初にいろんな質問に答えると、どういう運用方針にするかを決めてくれる。
  投資先は世界65か国、6000銘柄から選ぶ。
  過去のデータから重回帰分析を繰り返し、買うものを変えたりする。
  手数料はテオの場合は手数料の1%(通常は2~3%なんで安い)。
---
②チャットボット
 企業へのこれまでの問い合わせは電話やメールだけだったのがチャットボットで
 行う事例がでてきた。人間が答えるのではなく、コンピュータが答える。
 マイクロソフトのりんな、が有名。
 クロネコヤマトのチャットボットは、いつ届く?と打つと、お届け番号は?と聞いてくれる。
 ヘヤジン不動産のチャットボットも知りたい不動産情報が出てくる。
 ・アスクルへやってきた。日用品販売のロハコを運営しているが、そこでは
  マナミさんが対応している。
  AI型のチャットボットなんで、仕事以外のことも答えてくれる。
  実在のモデルがいたらしい。愛実さんという。元カスタマーセンター。
---
③グランピング
 千葉・木更津のワイルドビーチシーサイドグランピングパークにやってきた。
 リクリエーションズという会社が運営。http://re-cr.com/
 グラマラスとキャンピングの合成語。
 テントでキャンプなのにベッドで寝られる。3万五千円。
 コテージ型のホテルもある。バスもトイレもキレイ。
 (ここまでしてキャンプしたいのかという疑問が、、、)
 一泊4万4800円。
 食事はバーベキューセット2500円とか。
 スタッフが食材もお皿も、炭火おこしもやってくれる。
 星野やリゾートが日本で最初にグランピングの施設
 星のや富士を作った。http://hoshinoyafuji.com/
---
 
森永さんのお勧めは、AIoT。
AIとIoTの組み合わせ。
冷蔵庫がインターネットにつながると、そこでAIが献立を考えたり。AI執事なのかAIメイドなのか、、、

バイオハザード ザ・ファイナルを観てきた。ローラのあまりの扱いの軽さに涙、、、でもアリスの正体がわかるよ。ミラさんの娘さんもかわいい。

実はこのバイオハザードシリーズ、1本も観てない。。。けどなぜかファイナルだけ観に行ってきた。

最初に”これまでのあらすじ”を5分くらいでやってくれるので初めてでも安心。
安心だけれど、驚かそう驚かそうとしているので常にびびっていた。心臓に悪い。。。
今回はおそらくシリーズ最大量にゾンビ(って言わないよね、たぶん)が出てくる。
装甲車を追い出されて後ろにロープでつながれた状態でゾンビに追いかけられる、、、マッドマックスのようだ。
そして人工知能のアリシアは監督とミラさんの娘さん。道理で似てるし、かわいらしい。
なぜかすべてなかったことにできるTウイルス感染者を空気感染で全滅させられる抗ウイルス剤があることがわかり、それを求めてやって来た街で、ローラ達に出会う。
ローラさん、どこまで活躍するのかな?と思ったら、予告編で出てきたセリフだけをしゃべってあとはかなり早く退場、、、せめてハイブの最初の方まではいてほしかった。
でもちょっと最後は顔がアップになってよかったかな?(ちょっとあざとい感じでしたが)
アイザックス博士がなんであんなに強いの?とおもったらほぼターミネーターになってる。
で、アリスの正体が明らかに。これはずっとこのシリーズを見続けていた人にはわかってた話なのかな?
あんなバタバタ最後に即効性で効かないだろ!とかいろいろ突っ込みどころはありますが、なかなかスカッとしたお話で、軽くストレス解消にはもってこいのお話でした。

2016年12月24日 (土)

ぼくは明日、昨日のきみとデートする、を読んだ。SF小説の竜の卵(とスタートレックヴォイジャー)を思い出した。

映画化されていてちょっと気になったので読んでみた。
なんとタイトルがそのままネタバレになっているという。
あらすじは、”京都の美大に通うぼくは京阪電車の中で一目ぼれした女の子に声をかけ、交際にこぎつけた。でも彼女には大きな秘密があって、、、「あなたの未来が分かるって言ったら、どうする?」”というもの。それがそのままタイトル。京都の知っているところがいっぱい出てきて楽しい。
で、こういうのって藤子F不二雄先生が描きそうなお話ですが、これをもっとハードにしようとすると○○単位じゃなくて、連続的に逆転する世界とか、、、すごいSFになりそう。
そういうので思い出したのが竜の卵。これはすごいお話で、全く時間の流れが違う世界(中性子星) とのコミュニケーションを描いたもの。チラーかわいい!
そしてこの作品にインスパイアされたであろうスタートレックヴォイジャーの1エピソードがあって、それも大好きなんですよね。お勧め。

2017年の百貨店の福袋を先取りして見せてくれる(MBSせやねんのメチャ売れ)

かつみさゆりさんのメチャ売れ、今日は2017年の百貨店の福袋特集。

まずは阪神梅田本店。

今年の流行語にかけたものを用意している。
うこっけい卵の福袋(黄身の名は)。6個入りで1,944円。
ツケモンGo福袋(ポケモンGO)。まるこしの漬物5種類がランダムに入っている。
こなもんGOや蟹ってる弁当なども。
定番は阪神タイガース福袋。中身は9種類のタイガースグッズで13,000円相当のものが3,501円とお得。
目玉商品は、コケッコーな20.17kg。ニューミュンヘンの唐揚げ三昧福袋だ。
通常価格は70,000円以上なのが、54,000円に。予約は12/26~1/3の間。
---
次は大丸梅田店。
大人のためのスマートライフ福袋がテーマ。
人気なのは若い女性向けの福袋。
ミエーレの福袋を見せてもらう。かわいいアイテムが入って70,000円相当なのが、10,800円で販売。限定10個。
うふふガールズのフロアでは12/26からの販売で、フライング福袋。
今回の目玉商品は、”いえ”。
なんと家の福袋。三井ホームのスマートハウス ウエストウッド福袋 2,017万円。
バリアフリー、健康住宅、エコ住宅が特徴。1/2からの販売。
--
なんばの高島屋大阪店。
人気ブランドの洋服や雑貨の福袋。
高級素材を使用したメンズ商品が特におすすめ。
あ、これちょっとほしいな。
カシミヤ100%のニットが2着入って、通常50,000円が10,800円に。
今回の目玉商品は?ラッキー7。
黄金の七福神だ。24金。
税込みで、7,777万7,777円。これでももともとの値段より1000万円引き。
限定1セットのみ。
ちょっと小さい金の七福神と富士山のセットもある。2,017万円。これも1セット。

紫色のどんぐり、シリブカガシが見つかるか?(12/23の探偵ナイトスクープ)

私もこれねー、一回拾ったことあるんですよね。だから実在するのはわかる。

東京都町田市で、林郁実ちゃんと会う。
ずっとどんぐりを拾っている6歳の女の子。でも人見知りが激しい。
見たいどんぐりは何?と聞かれ超高速でシリブカガシと答える。
そして九州へ向かう。宮﨑の綾町。
綾町役場の曽我さんと河野さんが手伝ってくれる。でもかなり難しいと。
お兄ちゃんと一緒に探すが、お兄ちゃんに厳しいいくみちゃん。。。
まずイチイガシを見つける。
コジイも見つける。でもふつう、といういくみちゃん。
アラカシが木になってるのも見つける。
そしてシリブカガシの木まで到着。
どんぐりを探す。
お兄ちゃんが見つけた!
人見知りだったいくみちゃんが最高の笑顔に!
ブルーベリーみたい。紫だ。
食べたい、といういくみちゃん。
栗に近い仲間らしい。生でも食べられるそうだ。
食べたいくみちゃん。
まずい、、、って。
でも炒って食べると?
おいしいって。
今日一日の感想は、”ふつう”だって(笑)

2016年12月23日 (金)

12/23の探偵ナイトスクープで、家を出ていった妻とやり直したい田中孝之さん(51歳)の依頼で奥さんと話す、、、これはきつい。

田中孝之さん51歳が依頼者。髭がマリオみたい。家を出ていった妻とやり直したいと。

真栄田くんが探偵としてやってきた。田中さんはずっと泣いてる。
奥さんを想って作詞した歌を贈りたいと(いやこれはきついぞ)。だから赤い糸、記念日、、、
奥さんとはLINEで連絡は取っているという。
そして”会うたいから”と送信してしまう。
でも奥さんは”私は会いたくないけん”。。。
電話してみる。
探偵ナイトスクープの探偵さんが来ていると。
全部言っちゃった田中さん。
真栄田くんが奥さんと話す(はなしたくないなー、という真栄田くん)。
奥さんの家に真栄田くんが向かう。
話し合うこと30分。顔は出さない、という条件であってくれることに。
あ、やっぱり指輪は外してる奥さん。
料理を作っても食べるときに何も反応がない、風邪で寝込んだ時も、俺のご飯はいいから、とかいう。自分で何か買ってこようか、とか言ったことがない。
(こういう話よく聞くね、うちは私が料理するから、、、)
で、奥さんと対面。なぜかタイガーマスクのマスクをかぶって登場。
奥さん:何をどう言われても、気持ちがもう離れてしまっているから。。。
田中さん:可能性はないの?
奥さん:はっきり言うわ。無理。
(もう見ていられない、、、)
いくら田中さんが頼んでもイラッとするだけ、どういっても無駄。
もう帰っていいですか?という奥さん。
追いかける田中さん、待って。
そして、、、奥さんは帰ってしまう。
気をつけて帰って、という田中さん。
(まあいい人なんだけれど、、、)
そしてカップ麺を田中さんと真栄田くんで食べておしまい、、、

麺屋 龍仙(長岡京)で龍辛の激辛を食べた。

このくらいの辛さなら全然大丈夫。フライドガーリックを入れていただきました。

20161214_182011

20161214_181517

2016年12月22日 (木)

カレーハウス スパイシーJR住吉駅店で スペシャルカレー大辛を食べた。

ここのカレー、結構辛くて好きなんですよ。辛みエキスも加えていただきます。
W大盛の大辛のスペシャルカレー、チキンカツ+ウインナ+コロッケで1030円でした。

20161218_130728

2016年12月21日 (水)

時間の進み方が遅いマンガのランキング、その一位は?アカギじゃない!Dreamsだ!(水曜日のダウンタウン)

アカギの進み具合が非常に遅い。現実との時間経過の乖離が最も激しいのはアカギ説というのをもってハンバーグ師匠こと井戸田潤がやってきた。
作品中の経過時間÷連載時間を調べてランキングにする。
アカギは鷲巣麻雀編ではたった一晩を19年以上かけている。これが一位だろうと思ったら!
---
第10位 アカギ、、、え!!!!これが10位?開始早々に6年間経っていたから、、、
第9位 天牌 
第8位 PALM 
第7位 龍狼伝
第6位 カイジ    福本先生ランク入り2作目
第5位 グラップラー刃牙  まあこれはわかる。    
第4位 DEAR BOYS 今年完結のバスケマンガ。最後の試合は3年8か月。
第3位 テニスの王子様   なるほど。
第2位 なんと孫六   え!これ2014年まで続いてたの!
第1位 Dreams     ああ!これか!確かにこれは長いな。1試合6年間かかったとか。
でもDreamsは連載している雑誌が休刊になるので、1話で急展開。デッドボールを連続で出して監督にお前はいなかったことにすると言われ、、、ライバルは交通事故で死ぬとか。

比抵抗二次元探査は、杭状の電極を地面に刺して、切り替えながら比抵抗を測定するものらしい(徳川埋蔵金のテレビ見ていて)

GPR(地中探査レーダ)は知ってるけど、比抵抗は知らなかった。
番組は日本地下探査さんが協力しているみたい。この資料が参考になる。
こちらも。

http://www.n-buturi.co.jp/contact/pamphlet/pdf/resistance.pdf

数式まで使っての説明はこちら。

http://www.asukasoil.net/pdf/pd-butsuri2.pdf

まあでも埋蔵金は見つからないですが、、、

仙臺たんや利久 ららぽーとEXPOCITYで利久セットを食べた。

ローグワンを観たときにここでお昼を食べた。牛タンとミニキーマカレー。
カレーが辛くておいしかった。

20161216_111513

20161216_111457

2016年12月20日 (火)

早くもAppleのAirPodsがiFixitで分解されてる。W1チップとCypressのPSoC4が使われてる。

いつものことながら早い!

Image 1/2: Apple 343500130 is suspected to be the [http://www.theverge.com/2016/9/7/12829190/apple-w1-chip-iphone-7-wireless-headphones|W1|new_window=true] wireless communication chip
W1チップはいいとして、なんとCypressのPSoC使ってる。
こういうのってAppleはたいてい専用品を使ってたと思うのですが、これはちょっと驚き。

ねずみをくすぐったらどんな顔になる?というのを大真面目にやった研究が。耳が立ってるのが幸せだそうだ。

では問題。

Happyrat
のどっちがくすぐられている?
Popsci経由で、この論文見た。
答えは、、、耳が立っている方。なんとなくわかるな。ネズミもくすぐったいんだ。
そして、両手と片手で大真面目にくすぐっているのが笑える。
Rattickling

女性は妊娠すると脳の構造が長期的に変化するという論文が出ました(Nature Neuroscience)

フリーで読めます。

Pregnancy leads to long-lasting changes in human brain structure

社会認識にかかわる灰白質が減少し、それが2年は続くとか。これが母性、にかかわるような話なのですかね?

うわ!Wolfram|Alpha, 雲のマークを押すとOpen Codeが開いて、Wolfram languageが実行できるWolfram cloudへ飛ぶ!

Wolfram alphaで遊んでいて、見慣れないマークがあると思ったらこれだった。


Launching Wolfram|Alpha Open Code

うわこれすごいな。もうMathematicaとかいらないんじゃ、、、(ってことはないか)。

Raspberry PiにMathematicaが載ったり、最近Wolframはなんか攻めてますね。

反水素は普通の水素と同じスペクトルを持つ、、、これすごいな(CERNの成果、Natureに発表)

Nature Newsでこれ見た。

Natureに出た論文はこれ。

まず反物質を閉じ込めること自体が大変、、、磁気トラップを使って、ということですがすごい技術だ。

そして、反水素と水素が同じってつまらない結果では全くなくて、ちょっとでも差があったらCPT(電荷・パリティ・時間)が破れる。これが検証できたというもの。
動画はこちら。

ららぽーとexpocityのクリスマスツリーのところにレゴでできたサンタさんとトナカイがいる!

20161216_115642

こりゃすごい。
20161216_115655
20161216_115657

神戸の小学校では神戸ノートという特別なノートを使っている(なるみ・岡村の過ぎるTV)

これはねー、私も兵庫県出身(神戸ではない)だから知ってるんですよ。
というか、私も今でも自由帳を使っていたりする。
---
神戸市立舞子小学校で調査する。4年2組に入ると、横山アナが気付いたのは、、、
上履きがそもそもない。
校舎内は土足が主流。
さらに日番という表記が。日直じゃない。
で、本題へ。
皆が使っているのは神戸ノート。
淡い色みと風景でデザインされたノートだ。科目ごとにデザインが違い、神戸の写真が印刷されている。王子動物園、ポートタワー、など。
社会のノートには日本地図が書いてあったり。神戸市の地図もあってすごく丁寧。
連絡帳はおともだち、という6人分のお友達の枠が。
使用率が100%。
なぜみんな使う?学校では使う決まりはない。
福芳商店さんで聞いてみる。
ジャポニカはおいてない。あのノートしか売れないから。
戦後くらいからノートとして発売しているとのこと。
関西ノート株式会社が戦後に販売開始。
コープでも売っている。

2016年12月19日 (月)

m&mをペトリ皿に入れて水に溶かすと超新星爆発のようになる。

Melting M&M's Look Like Exploding Supernovasより。

SONYのこのα7R IIで撮影とのことです。

http://www.sony.jp/ichigan/products/ILCE-7RM2/

なんかものすごく体に悪そう。

AMS(アメリカ数学会)がオープンアクセスの数学講義ノートの公開を始めたって!(テレンス・タオさんのブログより)

AMS open math notes

というテレンス・タオさんのブログを見た。 これか。


今公開されているのは、
- Spectral Sequences
- Hyperbolic Surfaces:
- Vector Bundles and K-Theory
- Notes on Basic 3-Manifold Topology
- Differential Geometry I and II
- Introduction to Linear Optimization
- A Singular Mathematical Promenade
- Arithmetic Randonnée: An Introduction to Probabilistic Number Theory
- Mirror Symmetry
- Lectures on Braids and Dynamics
- Exponential sums over finite fields: elementary methods
12ノートみたいです。
タオさんも出したそう。線形代数のセミナー。
※ついでにファインマン物理も今はオープン。

そしてこれも参照:

JR京都線、12/19 20時ころから遅れてる。JR神戸線の須磨~塩屋で人立ち入りとのこと

人の立ち入りってなんですかね?痴漢が逃げた、という噂があるけど真偽不明、、、
http://trafficinfo.westjr.co.jp/kinki.html

JR神戸線:須磨駅~塩屋駅間の線路内に人が立ち入ったため、JR京都線(大阪から京都方面)の列車に遅れや運転取り止めがでています。

水鏡推理V ニュークリアフュージョンを読んだ。

なるほどー、タイトルがすでにミスリードになってるのか!というこの最新作。
いつもながら紺野真弓さんのカバーがいいですね。
さて本作では、これまでの”研究における不正行為・研究費の不正使用に関するタスクフォース”から研究公正推進室へ異動になった瑞希。実際にある組織だそうです。
その新しい部署で、女性キャリアと組んで核融合研究の検証に取り組む。
SOTAというスーパーコンピュータを使った技術検証システムで、核融合は実用間近と出て、巨額な予算がつこうとしている。
一方、瑞希は見知らぬ女性に呼び出され、不妊ウイルスについての不審な情報を聞く。
そして自身もさらわれ、、、(最近、松岡さんの主人公はさらわれてピンチになることが多すぎ、、、はらはら)
そして最初にも書きましたが、意外なところから事件の真相がわかる、、、がそこでまだ半分くらい。そこからは誰を信じていいのかわからなくなる事態に。
いつものことながらこういう展開がうまいですね。
さて、次作ももう予告がうたれていて、水鏡推理  VIはクロノスタシス(時計を最初に見ると1秒が長く感じられること)だそうです。

2016年12月18日 (日)

新幹線で一番静かに快適に過ごせるのは、4号車10番A席(林先生が驚く初耳学)

じゃらんの美人編集長、大橋菜央さん(残念ながら既婚者。旦那さんはシェーンさん)からの問題でした。

予約は7号車と11号車から外側に埋まる。
予約が最後になるのは4号車と16号車。ただ16号車は運転席がある分、座席幅が17㎜狭い。
さらに車輪の振動の少ないのは中央の10番。
席の埋まる順番からかんがえてもA席は隣に人がいない可能性が一番高い。
とのことでした。

トンネル掃除が人の手も機械も使わずにできる風ほうき(林先生が驚く初耳学)

使うのは長さ60cmのヒモ。

壁に円形の模様がある。円の中心にひもがぶら下がっている。円の部分の壁がきれいになっている。
車が走ると風が起き、それを利用して掃除している。
風ほうき、という名前がついている。
でも円形にしか掃除されなくて、掃除されない部分ができるんじゃ?
でも大丈夫。全体の80~90%掃除することで明るさを保持する。

糖類0、糖質0、無糖の違いは? (林先生が驚く初耳学でやっていた)

糖類0、糖質0、無糖の違いは?

炭水化物のなかに糖質が含まれている。糖質の中に糖類が含まれている。
糖類は単糖類(ブドウ糖など)、二糖類(ショ糖、乳糖など)がある。
糖類でないけど糖質のものは、アルコール類などがある。
なので、ダイエットするときは糖質0を選ぶといい。
無糖と糖類0は基本一緒。
糖類0や無糖は人工甘味料や糖アルコールは含まれている可能性がある。
100mlあたり当分0.5g以下なら無糖と表示できるのも注意。
だそうです。

シュリクマー関数(象の身長と前足の太さから表面積を求める)をカシオの高精度計算サイトkeisan.casio.jpの自作式としてUP!

イグノーベル賞を獲った象の表面積を求める関数。
論文はこれ。

ESTIMATION OF THE TOTAL SURFACE AREA IN INDIAN ELEPHANTS (ELEPHAS MAXIMUS INDICUS)

で、このTweetを見たら、、、
おお、これは実際に役に立っているのか!
ならカシオの高精度計算サイトkeisan.casio.jpに自作式として作ってみよう。
これ。

シュリクマー関数(象の身長と前足の太さから表面積を求める)。

まあ自分で使うことはまずないが、、、

トレーラーが変形して一軒家に、、、(折りたたみ式の家、サンジャポ見ていて)

これか。。。家以外にもいろいろ変形するコンセプト(でもCGだよな。。。)

池上彰の所得の印象操作グラフ、元データベースを探して自分でも描いてみた。結論はアメリカの格差がひどすぎてトランプ当選も納得。

http://netgeek.biz/archives/89232

を見た。
これはひどい、、、
で、元になったデータベースはこれのようです。

これをダウンロードして、縦軸のスケールを合わせた結果がこれ。

Ikegami01
いやこれ見て貧困が、、、という結論じゃないよな。
アメリカの格差がひどすぎる。。。ということ。
でテレビで出していたスケールに直すと、
Ikegami02
ものすごい印象が変わる。
でもこんなことで視聴者はもうだまされないと思いますが、、、

12/18のがっちりマンデーは”新たなビジネスチャンス!「法律改正でがっちり!」 車の部品工場で野菜作り!?食品の「3分の1ルール」とは?”でした。速記メモ。

法律の改正でがっちり、という特集でした。

鳥獣保護法、農地法、食品リサイクル法をうまく生かしたビジネスを紹介。
---
①鳥獣保護法
 野生動物は保護が必要でむやみに捕獲ができない。しかし平成26年に大きく改定
 されていた。千葉県の茂原市役所で聞いてみる。
 農地を食い荒らすので、法人が捕獲事業ができるようになったとのこと。
 今までは個人ハンターか猟友会しかなかった。一般企業でもよくなった。
 ハンターが不足していることが改定のきっかけ。
 イノシシ捕獲ビジネスをはじめた会社は?
 ALSOK千葉! (なるほどーうまく考えたなあ)
 わな猟免許を取っている。
 箱わな、という仕掛けを使っている。(ああ、ネズミ捕りみたいなやつ)
 5頭もイノシシがかかっている。繁殖力が強いのでその場で処分する。。。
 泥棒の侵入を検知するセンサーを動物にも応用している。
 わなにかかったイノシシの画像がスマホに送られてくる。
 わなの料金はカメラなし13万2千円。あり24万円。
---
②農地法
 農林水産省で聞いてみる。
 昭和27年に制定されたもので、農家さんに農地の取得を認める法律。
 勝手に企業に売ったらダメ、でしたが、
 7年前に大きな改革があった。
 改正前は農業と関係ない企業はNG、平成21年にOKになった。
 2000を超える企業が参入してきた。
 インタビューに答えてくれた栗原課長は農地法改正にかかわった人。大変だったとか。
 熊本県天草市にある、熊本部品株式会社へやってきた。
 自動車用の部品(ワイヤーハーネスという電気配線)を作っている。
 ビニールハウスの中で作っているのは、
 ベビーリーフ!
 野菜やハーブの若い葉っぱ。
 種を蒔いて3週間くらいで収穫でき、年に何度も安定して収穫できてありがたい。
 パッキングする作業場ではベルトコンベアが使われている。電気配線用のを改造。
 コの字型のライン配置も、機械設備も転用している。
 細かい手作業もワイヤーハーネスと一緒。
 発注している果実堂さんも、不具合を出さない熊本部品さんとはお付き合い
 したかったとか。
 売り上げが年間1億何千万。部品売り上げが30億円なので大きい。
---
③食品リサイクル法
 農林水産省で聞いてみる。
 平成12年に成立した。資源の有効活用の観点から検討された。
 食品廃棄物を減らすための法律。
 でも平成19年に改定された。業種ごとの発生抑制目標値が設定。
 東京都五反田にある、グラウクスという会社。
 kuradashi.jpという食品のネット販売をしている。
 高級品が安い。賞味期限が近いとか、ちょっとへこんだとかワケあり。
 食品に関しては3分の1ルールというのがある。
 メーカーが製造した日から1年からおいしく食べられるよ、という場合、
 4か月過ぎてからでなければお店はメーカーから仕入れないし、
 4か月前にはもう売らない(え、なんでこんなルールに、、、)
クロンティップさんは輸入したコンブチャをお任せしようとしている。
 
 メーカーさんにとってはブランドが崩れたり安売りイメージがつくと困る。
 それでもワケあり商品を掲載したいと思わせる秘訣は?
 ケース単位を目立たせる。1個いくらか記憶に残らないようにする。
 売り終わったら削除。
 購入料金の一部を環境保護支援代金に送金して、金額が分からないようにする。
--
森永さんのお勧めは?
医師法の改定。
お医者さんがダイレクトにやらないといけない診療が、遠隔診療ができるようになっている。
でも初診は今もだめ。そこが改定される?

扇町の関西テレビ社屋を通りかかると、SMAPxSMAP 12/26 Final, すべての思い出にありがとう。というポスターが貼ってあった。

たまたま扇町に行く用事があってカンテレの前を通りかかるとこのポスターが。
ああ、SMAPxSMAP、本当に終わっちゃうんですね。。。残念。

20161217_140303

しかしいつみても関西テレビの建物はバブルっぽい。
20161217_135816

2016年12月17日 (土)

パズドラのCM,あのアカペラグループPentatonixが出てる!

パズドラのCMをぼーっと見てたら、、、あれ?この人たち!

このDaft Punkのカバーが超有名なPentatonixじゃないか!

よくパズドラのCMに出たなあ。。。 Perfumeのカバーもしてるよ。

これもすごい。

ポッピンQというアニメが12/23に劇場公開ということですが、京都に住んでる人はみんな知ってるKBS京都のGoGoポッピンと関係あるのかないのか。。。

これがポッピンQ。
そして、、、
これがGoGoポッピン。
まあダンスは一緒、、、か?

iPhone6sがバッテリーが残っていてもシャットダウンする問題、私のiPhone6sもようやくバッテリー交換してもらった。

Appleが問題を認めて無償でバッテリーを交換してくれるということで、対象シリアルに当たっていた私のiPhone6sを12/4にカメラのキタムラさんへ持ち込んで、バッテリー交換をお願いした。
その時は世界中でこの問題が起きていてバッテリーがなかなか入ってこない、ということで
予約だけしておいた。1週間から1か月くらいかかるかも?と言われました。
12/13くらいに電話連絡があって入ってきたとのこと。9日間で入ってきましたね。
で、今日バッテリー交換してもらった。
作業自体は15~20分程度で終わった。
バッテリーはAppleから出荷されるときは爆発などを防ぐために20%くらいしか充電されてないそうで、今充電中。
さて、問題は解決するのだろうか?

サンタ帽をかぶったピカチュウ(ポケモンGoクリスマスバージョン)、今日一日で5匹捕まえた!

今日、大阪の難波あたりにいたのですが、かなりたくさんサンタ帽子をかぶったピカチュウがいました。

20161217_131522

20161217_120057
で、今日は5匹捕まえた。
20161217_170821

何をどう頑張ってもどん、にしか聞こえない。へい、じゃない。(探偵ナイトスクープで黄桜 呑のCM(真野恵里菜ちゃん出演)がどう聞こえるか)

恒例のCMソングシリーズ。
でもこれはどう頑張ってもどんにしか聞こえない。。。

2016年12月16日 (金)

ローグ・ワン(スターウォーズストーリー)を次世代imaxで観てきた。燃える&泣ける、、、そしてエピソードIVを見直したい。最後の人はどうなってんの?

expocityにある109シネマズの次世代レーザーimaxで公開初日に有給を取って観てきました。

やっぱりコスプレの人たちがいた。
20161216_120328
最初に出てくる long, long agoは一緒だが、テーマ曲がスターウォーズじゃない!というのにまず驚く。そしてジンのおもちゃがストームトルーパー。お母さん、、、出てこなければよかったんじゃ、、、
安藤キャプテンはいきなり悪役に。最初の方は全員悪人みたい、、、(というのが伏線になる)
そしてラピュタというかさらば愛しきルパンというか、元ネタのスーパーマンに出てくるようなロボット、K-2SOがまたいいキャラ。帝国軍のロボットが再プログラムされ(ターミネータ2っぽいね。そういうシーンもある)、憎まれ口をたたきまくる。
で、つえのアクションがかっこいい座頭市さんが出てくる(チアルート)。その相棒はベイズ。どっちもかっこいい。チアルートの弓みたいな武器もかっこいい。そして念仏のように、”The Force is with me,  I am one of the Force”を唱える。
ジン役のフェリシティ・ジョーンズはかわいいです。お父さんからジンはスターダスト、と呼ばれることがカギになる。
スターウォーズの第一作(エピソードIV、New hope)でなんであんなデススターに弱点があるんだ!ご都合主義だ!とか言っていた人は、このローグ・ワンでなぜあんな弱点があったかを知って愕然とするだろう(私もだ)。そういうことだったのか、、、
そして中間管理職の悲哀を表現するデススター責任者の長官。実は長官に感情移入してたり。
R2D2もC3POもちょっとだけ登場。
デススターのエンジニアが全員お年寄りなのが気になりながら、、、
お父さんの意思を継ぐジンの演説に感動。そしてそれでも動かない同盟軍。
しかし安藤キャプテン他、嫌われ仕事をしていたメンバーたちが立ち上がるシーンも大感動。
ここですでに泣きそうになっているのだが、、、
デススターの設計図が保管されている星へ向かう一同、そしてそこでの戦闘。
さて問題です。I have a bad feeling about this.を言ったのは誰でしょう?
さらに問題。最初にMay the Force be with you.を最初に言ったのは?
どれも鳥肌ものでした。
一番ぐっときたのは、お前らのコードを言え、と言われて、
ジンから"Say something" (なんか適当に言って)
と言われた帝国軍を裏切ってきた貨物船のパイロット(この人も大活躍)が、
"Rogue.... One"というシーン!
お前らは誰だと言われて
俺たちは、、、ならず者だ!という。
そしてコロニー落としをやる(ちょっとびっくり)。
宇宙戦はエピソードIVのを最新CGで再現してる。あの照準合わせとかね。超燃える展開。
AT-ATはミニ版と本式が出てきますが、あれってあんなに戦闘機に対して弱いのか、、、
でここから最後にかけては、もう書けない、、、
そりゃエピソードIVでああいう展開になるんだから、このメンバーがどうなるか観ている全員が分かっているはずで、それはわかっているんだけれどもしかしたら、、、
という希望(希望、Hopeもキーワードですね)があったんですが、、、
もうここで心で泣き続けているという。
ダースベイダーは本当に衝撃的な悪役としてでますよ。
そして最後の最後でエピソードIVにつながる人がでるんですが、
これはどういうこと?
CG?
昔の映像のリマスタリング?
エンドクレジットにあった?
謎だ、、、
なんにせよ、超お勧めの映画です。言わなくてもスターウォーズファンは初日に観てるでしょうが、、、

パンドラウイルスサリヌスは世界最大の塩基数247万を持つ、、、(頭脳王の予告でDNAみて当てるというのを見たので)

だから別に内容解析するまでもなく、数でクイズとしては当てられるのかな?

こういうウイルス。
18u9y2h810kltjpg_1

招福楼本店(八日市)へ行ってきた。

いつものメンバーの一人が誕生日ということで、ちょっと豪華に八日市にある招福楼さんまで行ってきた。
20161022_155218
20161022_155259
瓢箪の間でした。
20161022_190312
菊酒のあとは菊とイセエビ。
20161022_160839
お誕生日ということで赤飯も出てきた。
20161022_161939
はもと松茸の椀(手前は車麩)。
20161022_162719
お刺身。
20161022_163731
福井のぐじの焼き物。
20161022_164829
三種盛り。手前はアワビと肝。
20161022_170227
近江牛の上にしば漬け。
20161022_172014
箸休め。
20161022_173045
かぶだったかな?
20161022_174248
松茸ご飯。
20161022_175924
そして栗きんとん。
20161022_182954
果物で終了。
20161022_184002
落ち着いたお部屋でおいしいお料理、大変よかったです。

2016年12月15日 (木)

松尾神社(八日市)でお参り。

約束の時間にはまだ少し早いので、八日市駅近くの松尾神社まで。
20161022_154107
20161022_154320
で、ようやく時間になった。そしてここから(続く)。

2016年12月14日 (水)

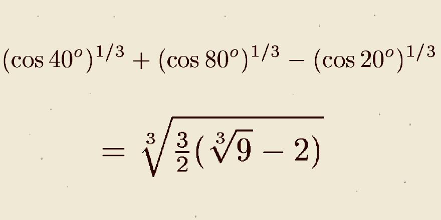
cos(40°)^(1/3) + cos(80°)^(1/3) - cos(20°)^(1/3) = ((3/2)*(9^(1/3)-2))^(1/3) を証明できる?(ラマヌジャンより)

Cliff PickoverさんのTweet経由で

”An overview of Ramanujan's notebooks”に書いてあった話ですが、、、

cos(40°)^(1/3) + cos(80°)^(1/3) - cos(20°)^(1/3) = ((3/2)*(9^(1/3)-2))^(1/3)

だとか。本当か?と思ってカシオの高精度計算サイトで50桁まで検証。

http://keisan.casio.jp/calculator

a= cos(40)^(1/3) + cos(80)^(1/3) - cos(20)^(1/3);

println(a);

b=((3/2)*(9^(1/3)-2))^(1/3);

println(b);

とすると、、、

ans1

0.49341462591878566442567275339367342643373747839938

0.49341462591878566442567275339367342643373747839938

ほんとだ!

蛙・子犬・リチャード・ファインマンを君の頭蓋骨に持て、というのがEmbedded Systems Conference(ESC)のキーノートスピーチだったそうだ。

ESC Keynote Provides Six Keys to Innovation

"A frog, a dog, and Richard Feynman walk into your cranium"

面白いたとえですね。 脳幹は爬虫類脳で蛙に代表されていて、

大脳辺縁系は子犬に代表されるもので、そして
新皮質がファインマンのような思考 を、という。

12/14の復活ナニコレ珍百景のMV珍は、ぼっけゑラーメン(岡山)の店主さん!キムチパーティー!(キムチをいっぱい食べてパワーつけてね)

ものすごく面白い湯きりの動きをする店主さんがいるぼっけゑラーメン。

こちらの記事に店主さんの写真も。
なんとキムチ食べ放題で、店主さんはキムチをいっぱい食べてパワーつけてね、と叫んでいるんだが、他人にはキムチパーティー!キムチパーティー!にしか聞こえない、、、
一回行ってみたいな。
でも実はありえへん∞世界でも取り上げられていたって。
そして動画など。

吉田沙保里さん、サンタ姿で柴犬まると”ペット”の宣伝イベントに出演されましたが、なんかめっちゃかわいい。

さっきニュースでサンタ姿の吉田沙保里さんを見ましたが、、、めっちゃかわいい。よく女性が”かわいいー”とかいうかわいさじゃなくて、本当にかわいかった。

にも写真ありますが、動いている姿の方が良かった。
お化粧とかうまくなったのか、かわいいものと一緒だと魅力が増すのか。
吉田沙保里、初対面の人気犬・柴犬まるにメロメロ「むっちゃかわいいー!」 - 画像8

八日市駅(近江鉄道)で下車。

なんでYo とKaichiが離れてるんだろう、、、
20161022_150304
やはり大凧が有名なのでここにも飾ってある。
20161022_150404
近江鉄道のゆるキャラ、がちゃこんもいた。
20161022_153535
鉄道むすめ、豊郷あかねも。
20161022_193447
20161022_150501
そしてさらにここから(続く)。

2016年12月13日 (火)

12/13の有吉のダレトクで久しぶりに石神さんの謎ラーメンが復活。ズワイガニラーメンとコオロギラーメン。

紹介されていたのは、

①千葉県千葉市の麺屋 玲

https://tabelog.com/chiba/A1201/A120105/12030107/
 
 手も足も出ない、アイツが邪魔をする、、、、ズワイガニラーメン。
 750円と安い。足が欠けているものを安く手に入れているから、だそうだ。
 12/23に20杯限定で復活とか。
---
②西新宿 ラーメン 凪 西口分店
 すごい煮干しラーメン、が人気だが、、、
 虫唾が走る恐怖のラーメンがあるという。それは、、、
 
 コオロギラーメン。
 スープ1杯につき50~70匹入っているとか。乾燥で出汁を取り、生きたやつを素揚げで、、、
  海老だしのような感じで、揚げたものも海老っぽいとか。
 2017/1/15に限定で復活らしいです。

近江鉄道に近江八幡から乗る。

10年ぶり以上に近江鉄道に乗った。
20161022_142138
でも車体結構きれいになってる。
20161022_143355
ワンマンは健在。
20161022_143751
そしてキップの裏はまっしろ(磁気じゃない)。
20161022_143501
そしてここから(続く)。

2016年12月12日 (月)

上新庄で流行っていた、ひむかしぶんじという遊びとは?(なるみ・岡村の過ぎるTV)

岡村さんの母校、東淀中学校付近で聞き込みしたが、誰も知らない。。。

しかし岡村さんの同級生の46歳の女性を発見。旧姓は妹尾愛子さん(今は北野さん)。

いつも廊下でブレイクダンスを岡村さんが踊ってたとか。恋愛感情はなし、、、

でも愛されキャラだったとのこと。実は岡村の妹さんも新婚の新居のためにこのお店でカーテン買ったとか。

ひむかしぶんじは知ってる?という質問に、かすかに覚えていると。

しっぺされたり、デコピンされたりすることは覚えていた。男の子のほうが知ってるんじゃ?という話に。

そこで、男子が集まるスナックへ連絡。BONBONダリアというお店に向かった。

井上裕美子さんがママ(当時のあだ名はいも)。呼び出してくれる。

上ノ坊学さんがまず現れる(鯖寿司を持ってきてくれる人)。

北川さん(元番長)が続き、さらに荒井さん、西山さん(当時不良っぽい、あだ名はととりん)、そして妹尾さんと次々登場。

ひむかしぶんじを知ってる?とみんな知っているという。

会話の中で嘘とか大げさがあると、いった人に対してひむかし、と繰り返しいう。ぶんじと言わなかったらそのひむかし、と言ったぶんだけシッペができる。

岡村が言っていたデコピンじゃない。

ルーツは何?

北川さんが始めた?いや俺ではない、という。

年上の人から、という意見もあった。

しかし視聴者からのメールが。

東淀中学の隣の新東淀中学校で流行ったという52歳の女性からだ。たぶん在学中にできた掛け合いだという。おうちに向かう。成山真紀さん。では由来を聞いてみる。

国語の先生で”日昔先生”という女性の先生がいた。

さらに技術家庭を教えていた”川手文次”先生がいた。

声が高く嘘が嫌いな日昔先生と、若く、文次文次と呼ばれていた先生からできた、そうだ。

こっちも参照:

吹田の人しか知らない火水木(ひみずき)という遊びとは?(なるみ・岡村の過ぎるTV見てたら出てきた)

そのなかのクロードチアリさんのちょっとぞうすい(ちょっとどんぶり)のCMはこれ。

なに!ノンスタイル井上がタクシーに当て逃げ?何やってんだ、、、こんな人気が出てきてるのに、、、

今NHKのニュースウォッチ9でやっていた。

「事故を起こしたことが世間に知られたら大変になると思った」って、、、逃げたほうが圧倒的に大変なことになるのに・・・

鶏と白菜のクリームシチュー定食を松屋で食す。味噌汁は合いますよ。味がガーリック強めの肉たっぷりなので。

味噌汁が合わないのではないか?と話題になっていたのでどんなものか食べてきました。
おお、鶏肉たっぷりで、シチューというよりむしろクリームソースですね。

20161211_120457

そのクリームも甘ったるいものではなくてニンニク強めの味が濃いタイプ。
これはごはんに合うおかずですな。ということで味噌汁にも合いますよ。

2016年12月11日 (日)

12/11の情熱大陸に霊長類学者の松田一希さんが登場。テングザルの研究者。研究の意味?ないですよ、そういうのを認める社会じゃないとだめと語る。

ボルネオ島 マレーシア領。その夜、男は特殊な赤外線カメラを闇の樹木に向けていた。

”あれか?どこ行った?
ここにオスがいるんだ。こっち見た、こっち見た。”
興奮しながら
”こんなことやる人いないですよ、なかなか。
割に合わないですからね、楽しいけど。”と話す。
なんと松田さんただ一人しか研究者がいない。
テングザルは鼻が長い、、、ことくらいしかわかっていない。
フィールドの鬼、と呼ばれている。
自分でもテングザルの食べ物を食べる、、、がめっちゃ苦い。
奥さんに言われるのは、あんたの取柄はそれだけだって、おんなじことをずっとできる。
2011年、世界の動物学者を驚愕させる論文を発表した。
テングザルは反芻していることをつきとめたのだ。
一体、なぜオスの鼻は長いのか?
ずっと気になっていたけれど、そこに到達するまでに生態や社会を調べないといけないのでそれを先にやっていた。
猿に聞いても教えてはくれない。。。
激しいスコールの中、テングザルの森へ向かう。
研究予算は限られている。空港から8時間、いつも一人で現地入り。
途中でドリアンが売っているのを見つけた。1kg300円。松田さんの好物。
取り立ては臭くないとか。
今回の調査は20日間、森はまだ遠い。
夜7時に調査基地へ着いた。雇っているアシスタントは1組の夫婦。
フィールドワークは夜明けとともに始まる。
危険と隣り合わせの世界。イリエワニなどがいる。釣り人も襲われたそうだ。
そして一番上に赤ちゃんとお母さんがいるのを発見した。
川沿いの木の上で夜を過ごすテングザル。これも松田が明らかにした。
かつては葉っぱだけを食べていると思われていた。
しかし木の実の種を食べることも研究でわかった。
チチと名付けたメス猿。彼女を追いかけてテングザルが木の実の種を
食べることを発見した。2年ぶりの再会。
チチのしっぽはわずかに曲がっている。
それらの情報から個体を見分ける。
しわしわだなあ、、、という感想。しぐさもおばあちゃんぽいとか。
名前はやっぱりドラゴンボールのチチさんから取ったって。
でも天敵から逃げやすくするためだけに木の上で過ごすのか?
蚊を嫌がっているのでは?
捕獲装置を使って蚊を調べてみた。
ものすごい数の蚊が取れた。
地道にピンセットで数を数える。
3時間もかかった。
奥に行くほど蚊が多くなる。川沿いが少ない。
大雨などで森に入れないときは?
ドリアンを食べる。
現地人も嫌がってるのに松田さんは食べる。
1978年、静岡県生まれ。
目の前に牧場があったおかげで動物に慣れ親しんだ。
一浪の末、同志社大学 工学部に進んだ。
転機はクモザルの西邨教授との調査に加わったこと。
するとクモザルが松田の前によく表れた。猿運があると、西邨先生に言われた。
愛知県犬山市に自宅がある。
妻と三人の子供たちが待っている。
妻の悠子さんも協力している。
海外で調査していたとき、英語が苦手で交渉に困っていた松田さんが付き合っていた悠子さんを呼んだこともある。それがきっかけで悠子さんは仕事を辞めたとか。
研究の意味と勝手最初のころ考えたりした。役に立つとか、人類進化とか生物学的な意義とか考えた。
でも今は、、、特にないですよ、そういうのが許される社会じゃないとだめですよ、と語る。
雄の泣き声は鼻の長さによって変化する。長いほど低い。
ボスは長い。
それを検証する実験を行った。より低い泣き声がメスを刺激するのでは?
メスの前にいろんな声を聞かせてみた。
まずは鼻が短いオスの声。高い。反応がない。
長いオスの声。ぐっと低い。でも反応がない。
音に対してどこまで反応するかがわからない。
動画をチェックしていた松田が見つけたのは、、、
素人目にはよくわからない。。。
6日で38回の実験をして、反応があったのは1度だけ。
しかしとてつもない光景を眼にした。
交尾しているとき、ほかのメスが鼻を持った。
なにかのヒントになる。。。

ラマヌジャンのようなどうやって思いついたかわからないような円周率Πの計算公式を次々だすJesús Guilleraさんの公式をカシオの高精度計算サイトkeisan.casio.jpで試してみる。

Cliff PickoverさんのTweet経由でこの方を知った。

なんだこりゃ!こんな公式どうやって見つけたんだ。
ご本人のWebサイトは
これは試さずにはいられない、ということで、カシオの高精度計算サイトkeisan.casio.jpで試してみた。
こちら。

Jesus Guilleraの円周率Π計算の公式

結果はこれ。なるほどー、収束早いな。
Pijesus
でもチュドノフスキーの方が早かった。
円周率の計算(ラマヌジャンとチュドノフスキー)
Pi0

え!にわみきほさん、日本テレビの田中毅アナウンサーと結婚してたの!

今、行列のできる法律相談所で田中アナが出ていて言っていた。

鎌倉の岬でプロポーズしたって。

知らなかった―、ZIPずっと見ていたのでなんか身内のような感覚で見てた。おめでとうございます。

大阪駅でUSJへ向かうハリーポッターのラッピング電車を見た。

走っているのは知ってましたが、見たのは初めて。自分は別の列車に乗っていて車窓から写真を撮った。

20161211_115313

20161211_115317
20161211_115321
20161211_115309

映画”海賊とよばれた男”を観てきた。True StoryじゃなくてTrue eventsを基にした話?しかし石油扱っているのにたばこ吸いすぎ、、、岡田君の演技・特殊メイクはやはりいいです。

原作はだいぶ前に読んだのだが、ほぼ忘れてる、、、ということで新鮮な気持ちで映画を観てきました。

さすがにVFXがすごい。
その時代・場所の雰囲気をすごく再現している。そして岡田君が老ける特殊メイク。
しみやしわの感じがすごく自然ですごい。たぶんお腹にも詰め物して年相応の恰幅も表しているのでしょう。
いろいろツボを。
・最初にBased on true eventsとでる。true storyではない。。。まあもともとが百田さんの
 創作だから。
・いきなり爆撃シーン。永遠の0の続編のようだ。
・時代背景的に仕方ない(風立ちぬもそうだったし)ですが、みんな死ぬほどタバコを吸う。
 近年こんなに喫煙シーンがあるのは珍しい。しかし可燃物を扱っているのに吸っていて
 本当にあんな感じだったのか?
・綾瀬はるかさんとの初夜、、、あれ?傘は?
 (って”この世界の片隅に”と混同していた、、、)
 あんなにおいしそうな味噌汁、朝ごはんはないな。
・染谷君は毎回いい役で出るなあ。
・近藤正臣さんの着物がけばけばなのが気になって気になって、、、
 あれはああいうデザインの着物なの?それとも、お金を全部国岡さんに渡してるから?
 (無知ですみません)
・ピエール瀧さんがラジオを直す。真空管って抜き差しあんなに簡単なの?
 (いや私さわったことないのですよ。電子業界にいるのに、、、)
このギターアンプでの説明によると、消耗品で交換しやすいようになっているとか。
ああ、なるほどー。ENIACとかも確かに抜き差し簡単じゃないとやってられんだろうな。
・原作ではっきり覚えていたタンクの底の石油を運び出すシーン、あんな感じだったのか!
 あれは確かに作業はやだなあ。
・鈴木亮平さんの英語はさすが。東京外大卒で、英検一級らしいよ。
 ナンセンスをナンセンスと訳す鈴木さん。
・この出光のマーク、アポロと、
「出光」の画像検索結果
かなり似た感じのAthena(アテナ)というマークが出てきた。
・ずっと歌われる社歌はやっぱり山崎貴監督の作詞。
・見送りのシーン、ずっと後ろを向いている小さな女の子が、、、
 実際にはCGで前には何もないのでしょうが、これよく撮りなおさなかったなあ。
・船のCGはやはりいいなあ。しかし途中でイランに行くことを告げられる乗組員が
 可哀そうで泣けてくる(手紙じゃなくて)。
・堤船長。敵への通信は、、、”ばかめ、と言ってやれ””は?””ばかめ、だ”
 ではなかった。。。
・岡田君の演技はいいです。しかしそれより超ひらパー兄さんでもある岡田くんの
コラボ企画がやりすぎ感がすごい。
結局やらされた男。。。NOLTYともコラボで、”能率とよばれた手帳”もある。
・最後に琵琶湖でロケしたようなことが出てきますが、どこでしょうね。
・藤島ジュリーKって誰だっけ?と思ったらこの方
ということでなかなか面白かったです。

がっちりマンデー12/11の放送は、”大学と会社がコラボ!「儲かる!共同研究」 アミノ酸でおいしいコンクリート!?お魚が大喜び!”でした。速記メモ。

企業と大学の共同研究でがっちり、という特集でした。ゲストは森永さんと菊川怜さん。

菊川さんは東大でコンクリートの研究をしていたとのこと。では以下速記メモ。

---

①岐阜県 下呂市 名古屋から車で2時間にある マンナン工房 ひだ
 対応してくれたのは北野勝広社長。
 こんにゃく畑の?いや違う。こんにゃくの中の成分がマンナン。
 こんにゃくの製造販売をしている。
 水が綺麗なところで作るとおいしくなる。
 岐阜大学の応用生物科学部と共同研究しているとのこと。
 どんなものを?
 売り出して1年で問い合わせ殺到らしい。
 冷凍しても美味しく食べられるこんにゃく!
 1回冷凍しても、こんにゃくの食感が損なわれない。
 (ああ、たしかに普通のこんにゃくは冷凍したらぼろぼろに、、、経験あります)
 西津教授がどうやったか答えてくれる。
 実は社長と同じ50歳。
 こんにゃくは植物繊維が含まれている。その間に水分がいっぱい含まれている。
 冷凍すると、氷の塊により整っていた繊維が崩れたり破れたりする。
 それを解凍しても食感が悪い。
 しかし、あるものを加えることで改善されることを3年くらいで発見した。
 大学でいろんなものを試した。作るのはマンナン工房さんにまかした。
 配合の量や温度も微調整して完成。
 
---
②東京 江東区のLIXIL
 トイレやお風呂など、いろいろ作っている会社。
 応対してくれたのは研究所の石井久史さん。
 東北大学工学部と共同研究した。
 今も実証データを取っているとのこと。そこで仙台へ向かう。
 石田教授にであう。街づくりとエネルギーの研究をしている。
 そのトイレとは?
 ゼロエネルギートイレ。ZET。
 災害時など、突然の停電でもLED照明がつく。5~6ルクスでも用は足せる。
 水を流すとき、水の力で発電し、蓄電していて証明がつく。
 蓄電にどれくらいかかるかなどを大学で検証し、LIXILが実際に
 発電機などを作った。
 LED電球にも工夫している。0.15Wでつくものを作った。
 
---
③香川県 観音寺市にコンクリート工場がある。日建工学。
 西村さんが対応してくれる。
 味の素さんと徳島大学との共同研究。
 コンクリートとアミノ酸と理工学?
 何をした?
 世界でオンリーワンのコンクリートブロック。
 アミノ酸入りコンクリート!
表面にアミノ酸が入っている。じわじわ水に溶けだし、
苔や海藻が生え、魚が集まってくる。
どうやって作る?
1.アルギニンをセメント・砂利と混ぜる。
2.表面にまいてプレスしたら完成。
そもそも味の素が考えていた。でもそのまま海には撒けない。
そこでコンクリートに。
日建工学さんが配合を何百回も変えて実際に作った。
徳島大学が実証実験を。
今は100か所ほどで使われている。
---
森永さんのお勧めは、慶應大学とジャパンディスプレイの
フォトニクスポリマー技術による高性能液晶ディスプレイ。

2016年12月10日 (土)

あれ?今ABC(朝日放送)で相棒 season13が放映。成宮くんが出演している、、、

衝撃的なコカイン疑惑→芸能界引退ということになった成宮君。

出演していた相棒の再放送はないのでは、、、と思ったら今日、12/10に関西地方でABCで再放送やってる。
「鮎川教授最後の授業」 「鮎川教授最後の授業・解決篇」

仲間由紀恵さんも出てる2話。

高樹沙耶の出演してる話も再放送できなかったり、相棒は何かと大変だ、、、

2016年12月 9日 (金)

若一神社でお参り。

平清盛ゆかりの神社です。
20160707_142837
 
20160707_142846
御神水も。
20160707_142936

2016年12月 8日 (木)

押しチャリ、、、

これ、みただけで何のことかわかる。篠ノ井駅にて。
20160416_162351
 

2016年12月 7日 (水)

Amazon Dash ボタンが話題ですが、分解写真を見てみると新タイプはほぼAtmelのチップで占められている。

ボタンを押すだけで日用品が届くAmazon Dashボタン、日本でも発売されてた。

で、中身が気になるところ。実は新タイプと旧タイプの2種類があるようですね。
たぶん、日本で売っているタイプはこちら。

New Amazon Dash Button Teardown (JK29LP)

Front of PCB
ああ、AtmelのマイコンとWiFiが積んであるのか、BLE用にCypressのICも。
そしてP板に形成されたアンテナ。これは結構安そうですね。
旧タイプはこれ。
Front of PCB (with Components)
これはSTのマイコンとBroadcom ICが入ったWiFiモジュール。
結構設計変えてますね。なんでだろう。

iPhoneのメッセージに迷惑メール、、、(株)日本債権という名前で03-6748-9706に有料動画の未納分を払えとか。でも電話番号は+90(000)00000から、、、

突然iPhoneのメッセージに知らない番号から通知が。(株)日本債権という名前で03-6748-9706に有料動画の未納分を払えとか。でも電話番号は+90(000)00000から、、、

あほか!ってな感じですが。

どういう仕組みでこういうメッセージ送ってくるんでしょうね?

調べてみると、他の電話番号も使ってる。

https://sagi-talk.com/0366347521-%E6%97%A5%E6%9C%AC%E5%82%B5%E6%A8%A9%E6%A0%AA-sms%E3%83%A1%E3%83%BC%E3%83%AB%E3%81%A7%E3%81%AE%E6%9C%AA%E7%B4%8D%E9%87%91%E8%AB%8B%E6%B1%82%E3%81%AF%E6%9E%B6%E7%A9%BA%E8%AB%8B%E6%B1%82/ とか

とか、、、皆さんお気をつけて。

12/7 早朝から阪急京都線、桂駅での設備点検の影響で大幅に遅れてる。振替輸送中。

阪急京都線で通勤・通学される方はご注意を。

---
電車に遅れが発生しています
京都線 桂駅構内において設備点検の影響により電車に大幅な遅れが出ています。

このため、下記の社局で振替輸送を実施しています。
 JR神戸線 (大阪~塚本)
 JR京都線 (大阪~京都)
 JR嵯峨野線 (京都~嵯峨嵐山)
 京都地下鉄 (京都~四条)
 大阪地下鉄 (各接続駅より)
 北大阪急行 (全線)
 京阪線 (淀屋橋・中之島~三条)
 大阪モノレール (蛍池~門真市)
 京都市バス (西大路四条~西大路駅前)(西大路四条~四条河原町)

12/7のGoogleトップページは、1676年に天文学者のオーレ・レーマーが光速を測定して発表してから340周年記念。

Googleのトップページはこれになってた。クリックすると光の速さ、の検索に飛ぶがこれではちょっとわかりずらい。
これは、天文学者のオーレ・レーマ―が木星とその衛星イオの食から光の速さを計算したことにちなむ。例えばこれ。
より詳しくは、
 Journal des sçavans という雑誌に12/7に発表したということでした。

福島上等カレーでメガMIXカレーの大盛りを食べた。

この前食べた、普通盛でもかなりの量でしたが、今回は大盛り。
なかなかのボリューム。

20161029_144636

こっちが普通盛。カツがライスからはみ出てる分、大盛りの方がでかい。
20161010_144059

2016年12月 6日 (火)

心斎橋ミツヤ(なんばWalk店)でミツヤライスを食べた。オムライス、スパゲティ、トンカツと子供の好きなもの全部入ってる。

まさに子供の時の夢、のようなメニューだ。
980円と結構お手頃。大人のお子様ランチかな。

20161204_113321

20161204_114250
メニューも豊富です。
20161204_114253

2016年12月 5日 (月)

映画”Hidden Figures” (NASAで”コンピュータ”(計算する人)として活躍したキャサリン・ジョンソン含む3人の黒人女性)がもうすぐ公開、これに合わせNASAがModern figuresというスペシャルサイトを。

これはなかなか面白そう。
で、これの公開を記念してNASAがスペシャルサイトを立ち上げてる。
これ。
こういうのを作るのはNASAはうまいなあ。

12/5のしゃべくり007で、重大発表が。それは、、、くりぃむしちゅー有田哲平さんが11月29日、入籍したって。気になる結婚相手は?

プロポーズの言葉は?という質問には、ちゃんとしなくてもいい人が良かった、ということでした。

”そろそろ発表しようと思うんだけれど婚姻届け持ってきてくれる?””はい”、という感じだったそう。

外見は高橋ひとみさん似だそうです。合コンで知り合ったとか。

徳井さんからの質問:なんて呼ばれているか?

年下なんで今までは有田さんと呼ばれてたが、、、

よくテレビ見て笑う子で、しゃべくり007を見て笑っていたとか。

鉄板屋 侘家三昧(京都駅 近鉄みやこみち)でホルモンと野菜のピリ辛味噌焼きを食べた。

お昼に京都駅にいたので、ここでランチ。ホルモンと野菜のピリ辛味噌焼き
20161130_130047
ご飯はおひつで、かつ鶏のそぼろまでついてくる。これはすごい量でお得。
20161130_130045
20161130_131320

2016年12月 4日 (日)

情熱大陸にオルガン奏者の冨田一樹さんが登場。稼げない、なんでオルガン始めちゃったんだろうとぶっちゃける(笑)

この人面白いな。

収入面での不安を正直に語る。。

独バッハコンオルガン部門、冨田一樹さん1位 日本人初

という賞を取ったって収入が増えるわけじゃない、、、とか。
触ったオルガンはほぼ覚えている、とか。演奏前にはブドウ糖アメを食べてエネルギー補給。
でも演奏はやはりすごい。
本場ドイツでも、オルガンのコンサートだけで食べていくのは難しいという。
教会専属になることが多いが、クリスチャンではない冨田さんにその道はない。

12/4 20時31分ごろ、近鉄大阪線、築山-大和高田間で人身事故、五位堂~大和八木間で運転見合わせとのこと。

今、NHKのニュース速報でも出ました。

12月4日 20時45分 現在
20時31分頃、大阪線は、築山-大和高田間の人身事故のため、五位堂~大和八木間の上下線で運転を見合わせています。
大変ご迷惑をおかけしますことをお詫びいたします。

ポケモンGoのポケストップで出てくる卵、いくつの距離(2km,5km,10km)が出てくるか?をχ^2検定し、ポケストップごとに違う(p値=0.0111)という結果。

これは調べるの大変だったろう、、、26人が参加で全部で1715の卵(2㎞と5㎞のみ)を調べた。

POKESTOPS AND EGG DISTANCES

カイ二乗検定をし、ポケストップごとに出てくる距離が同じ、というのをp=0.0111で棄却。
その後も、redditで議論されてます。

iPhone6sのバッテリーが残っていてもシャットダウンする問題、私のiPhone6sも対象シリアル、、、カメラのキタムラへ予約していったが、、、

世界的に問題になっているこれ。

確かによく落ちる、、、特に寒いときに。 バッテリーの寿命かな、と思っていたが、実は対象のシリアルだったことが判明。 無償で交換してくれる、ということでAppleの正規プロバイダであるカメラのキタムラへ、Appleのサイトから 予約して行ってきた。

しかし予想通り、今バッテリー交換する人がいっぱいいて在庫がないとのこと。
1週間から1か月くらいで入ってくるということなので、入って来たら電話してもらうことになった。
これ、2015/9~10月に製造されたものが対象ということでしたが、私が買ったのは発売日。
普通はもっと前に製造されていたんじゃないかな、とちょっといぶかしく。

という話もありますが、にわかには信じがたい。そんなことでバッテリーがおかしくはならないだろう。

12/4のがっちりマンデーは”ロードサイドビジネス最大の激戦区「国道16号線」に大注目!春日部で!相模原で!柏で!八王子で!謎のオレンジ色店舗が急増中!?”でした。速記メモ。

①千葉県白井市の快活CLUB

http://www.kaikatsu.jp/

ソフトクリーム食べ放題、24時間カラオケ、ビリヤードという看板がある。
コミックやインターネット、カラオケ、ダーツ、ビリヤードが楽しめる複合ネットカフェ。
1人30分267円から。時間内なら移動しても同料金。
家族連れが多い。一人いくら、なので団体で来てくれた方がお店としてはありがたい。
ペアシートや、リビングルームなどもある。
16号線沿いに11店舗もある。
12時間の交通量が1万台以上のところに出店している。
利用料金は決まっているので、別料金、食事に力を入れている。ドリンクバーは基本料金に含まれるが、どんどん食事を注文してもらう。海老フライ&チーズINメンチカツ焼きカレー やオムライスプレートなど、ファミレス並みのメニュー。50種類以上。
---
②埼玉県さいたま市 Super 2nd Street (セカンドストリート)
ゲーム売り場や招き猫、日本人形、、、なんのお店?

何でも買い取り、何でも販売のリユースショップ。

ジャンルを決めずに何でも買い取ってくれる。
国道16号線沿いに6店舗展開している。
お値段データベースがあり、どの店でも査定ができるようになっている。
遠赤外線ヒーターもメーカー名、年式・型番を入力すれば平均買い取り価格が表示される。
でもお店独自に売れ筋はちょっと高めに買ったりする。
MDカレンダーというのもあって、この時期はこれを買え、というのが示されている。
お年玉需要で楽器が売れるので、楽器は11月に買い取れ、とか。
運営しているのは、ゲオ。
---
③千葉県千葉市のショッピングモール内にある、カットオンリークラブ
 16号線沿いに4店舗、すべてショッピングモール内に出店。
 1550円のカットのみをほとんどのお客さんが選ぶ。
 1000円カットとか他にない?いやここは美容室だというのがポイント。
 男女比で約半々。
 なんで安い?カットする時間は一切省かずに、それ以外の時間を省いている。
 ここが1000円カットとの違い。平均25分。
 受付方法は、予約ができない。無駄な時間が0になる。
 お客さんには待ち時間があるが、外出ができる。モール内で買い物したりできる。
 壁は高さ110㎝のホワイトボードのような素材。シザーケースが壁に当たっても
 掃除しやすくするために。
 カットクロスもお客さん脇のワゴンに入れている。
---
森永さんのお勧めは、東京 福生市のアメリカンなお店。 デモデダイナーやブルーシールなど。
 

天下一品(長岡天神前)でチャーシューメン特大ねぎ大を食べた。

久々に天一に来た。すごいボリュームでした。

20161202_135256

2016年12月 3日 (土)

長岡天満宮も今、かなり紅葉が進んでます。

先ほどは光明寺に行って紅葉を観てきましたが、今度は長岡天満宮。

20161202_140537

20161202_140658
20161202_140910
20161202_141256
ここもそこそこ紅葉が進んでます。
20161202_140717

光明寺(長岡京市)は今、紅葉期の入山有料期間。御影堂に入れて寺宝見られるし、もみじ参道を歩ける。

今日、たまたま時間ができたので行ってきました。入山料は500円。
20161202_145458

20161202_145601

真っ赤、とまではまだ行かないですがかなり綺麗な紅葉が観られます。
20161202_145309
御影堂に入って有名な廊下を歩く。
20161202_144652  
寺宝展と、美術展をやっていた。
20161202_144950  
20161202_144756
もみじ参道では、、、
20161202_145149
お茶とかもろもろ売ってる。ここに出店が出るとは知らなかった。
20161202_145241
20161202_145256

京都相楽郡のお好み焼き&ラーメン ももたろうが探偵ナイトスクープで紹介されていた。

依頼者は石本望さん。看板にお好み焼き&ラーメンと書いてあったので、
お好み焼きください、と言ったけどない、と、、、それならラーメンと言ったら
それもできないと、、、
鍋ならある、水炊きがいいよ、と言われたけど逃げて帰ってきたという。
間寛平さんと訪問したが、、、
メニューはないと言われる。しかもお客さんがカウンターの中で働いてる?
何?それ?
店主不在の時はお酒も勝手に入れる。
ようやくママが登場。
長谷川悦子さん。
昔はやってたが、、、今はない。
で、出てきたのがハンバーグ。
里芋、鮭のホイル焼き、など裏で作って出している。
値段は?
5品で500円!なんだこれ!
松茸の土瓶蒸しまでついて!
16年前はお好み焼きもラーメンもやっていたが、毎日くる常連さんに
毎日では体に悪い、ということで健康的なメニューに変えたとか!
テーマソングまである。
そして無理を言ってお好み焼きを作ってもらう。
おいしそうだった。

2016年12月 2日 (金)

Siriにゾルタクスゼイアンを調べて、と言ってもフィクションですよ、とでる(やりすぎ都市伝説見てて)

さっきやりすぎ都市伝説で、、、

ゾルタクスゼイアンをSiriに聞くと、そうですね、、、しかるべきときが来たら、お教えしましょう。
と出るとでたが、、、実際には
20161202_220909_2
これ、だいぶ前に話題になって、そして 冗談です!もちろんただのフィクションですよ。と付け加えられたのだ。

松屋で厚切り豚テキ定食を食べた。これはかなりレベルが高い。

お肉は分厚いし、脂身もあるし、これはかなりレベルが高い。おいしかったです。

20161127_150410

2016年12月 1日 (木)

なか卯で生うに丼を食べた。

この手のお店で生うにとは思い切ったことを、、、いくらも乗ってます。豚汁とのセット。

20161126_170735

これ結構おいしかったです。

« 2016年11月 | トップページ | 2017年1月 »

最近の記事

2026年2月
1 2 3 4 5 6 7
8 9 10 11 12 13 14
15 16 17 18 19 20 21
22 23 24 25 26 27 28

最近のコメント

無料ブログはココログ
フォト